Zadanie polega na przeprowadzeniu symulacji rzeczywistego procesu rozciągania próbki wykonanej ze stali 310S.

W eksperymencie użyta została łaska próbka typu "dog bone". Grubość próbki wynosi 0.8mm. Geometria próbki wraz z podstawowymi wymiarami została przedstawiona na poniższym rysunku.

W symulacji należy przyjąć:
• gęstość 7840 [kg/m$^3$]
• przewodność cieplna 11 [W/(m$\cdot$ K)]
• współczynnik Poissona 0.265 [-]
• ciepło właściwe 490 [J/(kg$\cdot$ K)]
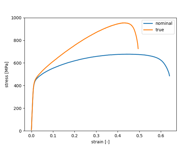
Na bazie danych eksperymentalnych należy wyznaczyć moduł Younga oraz krzywą wzmocnienia plastycznego - moduł Calibration


Dane przedstawione na powyższym są dostępne tutaj:
• krzywa naprężenie odkształcenie (wartości nominalne)
• krzywa naprężenie odkształcenie (wartości rzeczywiste)
Uzyskane podczas eksperymentu przebiegi czasowe siły $F$ oraz wydłużenia $u$ zostały przeliczone na odpowiednie miary naprężenia i odkształcenia
$$\sigma_{n} = \cfrac{F}{A_0}, \qquad \varepsilon_{n} = \cfrac{u}{L_0}$$gdzie $A_0$ to początkowe pole przekroju poprzecznego próbki w połowie długości, $L_0$ to przyjęta długość bazowa dla której mierzy się względnie przemieszczenie $u$. Wartości nominalne przeliczono na wartości rzeczywiste stosując następujące formuły
$$\sigma_t = sigma_n(1+\varepsilon_n), \qquad \varepsilon_t = ln(1+\varepsilon_n)$$Symulację procesu należy wykonać używając kroku Coupled temp-displacement. Cały proces rozciągania trwał około 0.6621 [s].
Należy uwzględnić oddziaływanie szczęk maszyny wytrzymałościowej na próbkę. Górna szczęka maszyny przesuwała się ze stałą prędkością 6 [mm/s]. W chwili początkowej próbka ma temperaturę pokojową równą 22$^{\circ}$C.
Generowanie ciepła w skutek deformacji plastycznej
W module Property dodajemy możliwość generowania ciepła na skutek deformacji "Theraml->Inelastic Heat Fraction". Przyjąć NELASTIC HEAT FRACTION równy 0.9
